Former constable running for state representative alleges her sons were injured during San Antonio police encounter

SAN ANTONIO, TX – Activists and family members held a press conference alleging misconduct by the San Antonio Police Department in connection with a 911 medical call involving the Vela family.

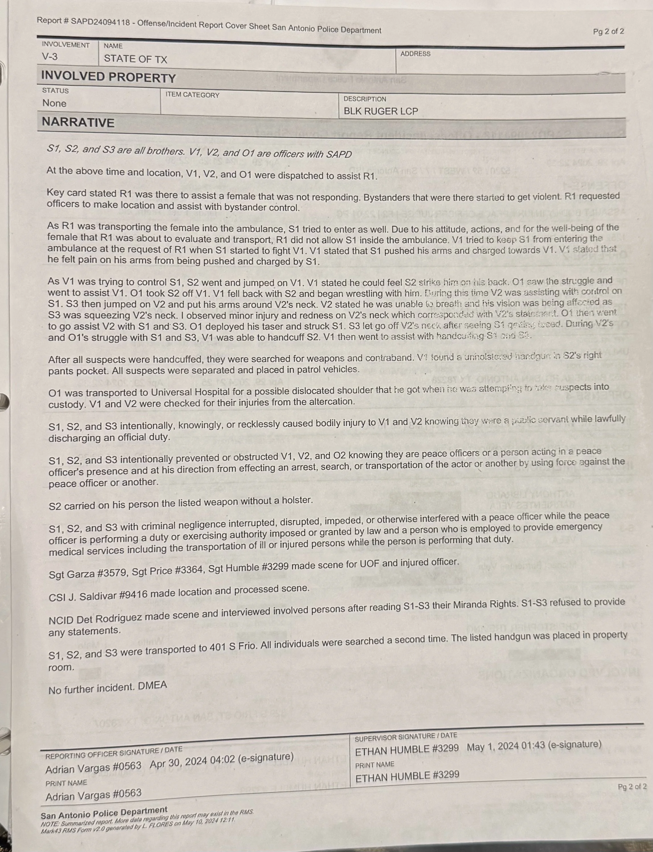
Dr. Candice Matthews stated the incident began as a medical emergency on April 29, 2024, and not a criminal call. She said no crime was reported or occurred and claimed a radio call referencing “violent bystanders” was made despite no bystanders being present.

Speakers identified three officers, alleging they entered a private residence without a warrant, probable cause, or consent. The officers, all with the San Antonio Police Department,  were named as Christopher Trevino (Badge No. 705),  Henry Hathaway (Badge No. 1808), and Andrew Davis (Badge No. 292). The entry was described as a violation of the Fourth Amendment to the United States Constitution.

During the press conference, Dr. Matthews also questioned the validity of the police report, stating the individual who authored it was not present at the scene. She alleged the report contained inconsistencies and referenced department policy requiring officers to be physically present to complete such reports.

Former Bexar County constable Michelle Barrientes-Vela, who is running for state representative, said her sons called 911 for medical help but were handcuffed and injured during the encounter. She stated the incident resulted in ongoing physical and emotional impact on her family and led to criminal charges following the event.

Speakers called for dismissal of the cases, termination of the officers involved, and an independent investigation, including potential review by federal agencies. They also raised concerns about accountability, transparency, and public trust in law enforcement.

Next
Next

Quanell X and Dr. Matthews lead protest outside HPD headquarters demanding termination of Ashley Gonzalez